[Titelfragment 1.1] [Titelfragment 1.2] Titelfragment 1.3]
[Titelfragment 2.1] [Titelfragment 2.2] [Titelfragment 2.3]
[Titelfragment 3.1] [Titelfragment 3.2] [Titelfragment 3.3]


Lupen für Fortgeschrittene (IX)
Hier: Professionelle Brennweitenmessung für Amateure!

Pragmatische Naturliebhaber neigen dazu, Mehrfach- und Vielfachlupen als reine Spielzeuge zu belächeln, die technikverliebt und weltvergessen um sich selbst kreisen, jedoch unter Frischluftbedingungen keinen Mehrwert bringen. Wir müssen diese Instrumente deshalb nicht unbedingt ernst nehmen. Und Sie könnten an dieser Stelle bereits mit dem Lesen aufhören.

Andererseits gefällt beispielsweise die hier bereits früher vorgestellte "Octoscop"-Vielfachlupe schon alleine durch ihr symmetrisches Design. Obendrein kann sie uns, wie wir sehen werden, als wunderbares Anschauungsobjekt zur Sinnhaftigkeit der Brennweiten- und Vergrößerungs-Messung dienen.

Rekapitulieren wir deshalb die Eigenschaften des OctoscopsTM (Abb. 1 und 2): Es stellt in einem einzigen kompakten Gehäuse eindrucksvolle 8 Lupenvergrößerungen zur Verfügung. Diese resultieren einerseits aus der ausgeklappten Kreuzform sowie andererseits der parallelen bzw. antiparallelen Überlagerung von vier optischen Einzelementen (2x, 4x, 10x und 18x).

Das Octosctop wirbt konsequenterweise mit einer Vergrößerungspalette von 2x, 4x, 6x (aus 2x plus 4x), 10x, 14x (aus 4x plus 10x), 18x, 20x (aus 2x plus 18x) und 28x (10x plus 18x).

Im Extremfall wird somit, eben durch Überlagerung des 10x- und des 18x-Elementes, eine 28x Vergrößerung erzielt, wie die beiden folgenden Abbildungen illustrieren - easy:


[  ]

Abb. 1: Das Octoscop in aufgeklappter Kreuzkonfiguration. Hier stehen (ohne jegliche Überlagerung) die vier Vergrößerungen 2x, 4x, 10x und 18x zur Verfügung.

[  ]

Abb. 2: Beim Drehen um die zentrale Achse kann durch Überlagerung des 10x- und des 18x-Elementes maximal eine 28fache Vergrößerung entstehen, auf die mit einer, nur in dieser Stellung erscheinenden, zusätzlichen Fensteranzeige feinsäuberlich hingewiesen wird.

Und ja, 10 plus 18 ergibt doch wohl ganz eindeutig 28? Ins Grübeln kommt man jedoch beim vergleichenden Blick auf eine aktuell sehr teuer vermarktete Einschlaglupe, die unter der Bezeichnung "Weinschenklupe" gehandelt wird. Diese Weinschenklupe ist übrigens, in für uns rätselhafter Weise aus einer ziemlich ähnlichen Vorkriegslupe von W. & H. Seibert neuzeitlich wiedererstanden (was deshalb keineswegs illegitim sein muss). Sie nimmt nun allerdings für sich in Anspruch, aus der Überlagerung eines 10x- und 20x-Elementes eine lediglich 28fache Vergrößerung zu synthetisieren! Hmm.

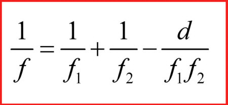
An dieser Stelle könnte nun der Amateur vermuten, dass die altvorderen Herren Wilhelm und Heinrich Seibert sowie die Weinschenkenden womöglich der einfachen Addition nicht mächtig gewesen wären. Ein Blick in die Fachliteratur lehrt allerdings, dass sich die Vergrößerung zweier Optikelemente in der Praxis nur dann sauber addiert, wenn die betreffenden Elemente quasi ineinanderliegen (Abstand null!):


[  ]

Abb. 3: Formel aus der älteren Fachliteratur, zur Berechnung der Brennweite f eines Modellsystems aus zwei Sammellinsen [Fowles 1975]. f1 und f2 stehen für die Brennweiten der beiden Sammellinsen, d für den Abstand ihrer Hauptebenen. Der Abstand d haust im dritten Term - er bewirkt wegen des Minuszeichens eine bei zunehmendem Linsenabstand reduzierte Summenvergrößerung.

Probieren Sie es einfach aus: Wenn man in die Formel als f1 25mm (10fach Linse), bzw. als f2 13,9 mm (18fach Linse) einsetzt, so ergibt sich bereits bei 3 mm Linsenabstand eine Brennweite f von 9,68 mm, die sich wiederum in eine Vergrößerung V = 250mm/f, d.h., nur noch knapp 26fach umrechnen lässt. Und, völlig klar, bei 5 mm Linsenabstand fällt die Summenwirkungsabweichung noch größer aus, die de-facto-Vergrößerung sinkt auf etwa 24fach.

Wer hat nun recht, die Herren Wilhelm und Heinrich Seibert, die "Weinschenks" oder Arthur Seibert, dessen Namen auf dem Octoscop vermerkt ist? Obendrein wären ja auch kompliziertere Konstellationen denkbar, etwa dass alle drei Parteien irgendwie auf ihre Weise, beispielsweise dank eines zusätzlichen optischen Tricks, recht haben könnten. Man soll nie vorschnell urteilen.

Um festzustellen was hier zutrifft, wäre es natürlich zielführend wenn wir die Vergrößerungen der jeweiligen Einzelelemente und der Gesamtsysteme selbst messen könnten. Und ja, das kann auch ein Amateur! Wie es geht, erläutern wir in diesem und den nächsten Journalen. Beginnen wir mit der Theorie:

Laut der Fachliteratur geht die hier beschriebene Vorgehensweise auf Carl Friedrich Gauß zurück [Johnson 1960]. Sie ist radikal minimalistisch und deshalb so einfach, dass wir sogar hier im Bärtierchen-Journal Theorie und Praxis auf der Basis einer Handvoll Bilder und etwas Text darstellen können. Und die Methode funktioniert, unter günstigen Bedingungen mit einer Fehlermarge von deutlich unter einem Prozent! Wir versuchen uns hier zur Abwechslung mal mit etwas Strahlenoptik und einfacher Mathematik, in der Hoffnung, nicht allzu viele Leserinnen und Leser zu vergraulen!


[  ]

Abb. 4: Ein Mehrlinsenmodell, lediglich schematisch. Man beachte, dass das Innenleben der Optik (die beiden blauen Linsen und deren Zwischenraum) hier vorsätzlich ausgeblendet wird und die mathematische Betrachtung sich auf den bildseitigen Teil der Optik beschränkt. Das optische Kombinationssystem wird, wie aus dem Folgenden ersichtlich, lediglich aufgrund seiner messbaren Vergrößerungswirkung bei zwei unterschiedlichen instrumentellen Geometrien betrachtet!
"g" und "r" stehen in der Grafik für das immer gleich große Objekt (eine Strecke auf einem Objektmikrometer), g' und r' für deren unterschiedlich große Abbildung, t1 und t2 für zwei unterschiedliche Tubuslängen, bei denen, wie man sehen wird, nur die Differenz, nicht jedoch der (schwer zu bestimmende) Absolutwert benötigt wird. f ist die von uns gesuchte Brennweite des Gesamtsystems, aus der sich wiederum in gewohnter Weise die Vergrößerung (als V = 250mm/f) errechnen lässt.

[  ]

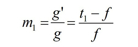
Abb. 5: Das Vergrößerungsverhältnis m1 = g'/g ist im obigen "Abbildungsfall Grün" als einfache Proportionalität nach dem Strahlensatz direkt ablesbar.

[  ]

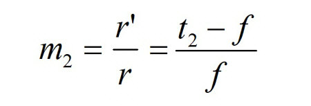
Abb. 6: Sinngemäß Gleiches gilt für den "Abbildungsfall Rot" ...

[  ]

Abb. 7: und die zugehörige Vergrößerung m2.

[  ]

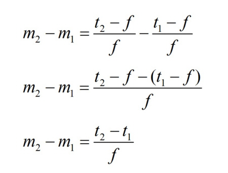
Abb. 8: Man führt die beiden Formel aus Abb. 5 und 7 als Differenz zusammen. Dann ist es, nach einigen wenigen weiteren Umformschritten nicht mehr weit bis zum spektakulären Endergebnis (Abb. 9).

[  ]

Abb. 9: Als Resultat erhalten wir eine Formel, die aus der unterschiedlichen Vergrößerung eines auf dem Mikroskop-Objekttisch liegenden Objektmikrometers bei zwei unterschiedlichen Tubusauszügen die integrale Brennweite des Untersuchungsobjektes ableitet!
Alles auf der Basis von [Johnson 1960]. Die Abbildungen 4 und 6 sind Ergebnis einer didaktischen Überarbeitung und Vereinfachung, etwaige "Unschärfen" somit nicht [Johnson 1960] sondern uns anzurechnen.

Die gute Nachricht für die Amateure lautet nun, dass all dies an einem alten Hufeisen-Mikroskop mit ausziehbarem Tubus zu bewerkstelligen ist. Wie genau werden wir im nächsten Journal, auch anhand der Ergebnisse an standardisierten Objekten (Nikon "MPlan" Mikroskopobjektiven) zeigen. Die experimentelle Komplexität und der materielle Aufwand sind geradezu verblüffend gering:


[  ]

Abb. 10: Geräte-Setup zur präzisen Bestimmung der Brennweite (somit auch der Vergrößerung) von Mikroskop-Objektiven und hoch vergrößernden Lupen:
(1) Ausziehbarer Tubus mit Millimeter-Skalierung
(2) Mikrometerokular, zum exakten Ausmessen des vergrößerten mikroskopischen Zwischenbildes
(3) Das Messobjekt - hier eine mittels zweier (leerer) Zwischenringe angeflanschte Einschlaglupe
Auf dem Objekttisch des Mikroskopes liegt ein Objektmikrometer mit 1/100 mm Teilung, dessen scheinbare Vergrößerung wir nun lediglich bei zwei unterschiedlichen Tubusauszügen vermessen müssen.

Und schwupps ist sie wieder da - eine für viele Anwendungen hoch interessante Methode zur präzisen Brennweitenvermessung unterschiedlichster Optiken, seien es nun stark vergrößernde Einzellinsen, Mikroskopobjektive oder stark vergrößernde "wissenschaftliche" Lupen - egal.
Schwächeres Linsengemüse ist natürlich nach wie vor sehr viel einfacher zu analysieren, lässt sich beispielsweise mit Hilfe eines Scheitelbrechwertmessers untersuchen (vgl. Beschreibung in unserem aktuellen Juni-Journal).



Literatur

Grant R. Fowles: Introduction to Modern Optics. 2. Auflage, New York 1975. S. 297.

B.K. Johnson: Optics and optical Instruments. 2. Auflage, London 1960. S. 31-32.

Folgender Quellenverweis mag als Hinweis dienen, dass die hier vorgestellte Theorie, aber auch die im kommenden Journal vorgestellte Praxis teilweise aus dem Bewusstsein der aktuelleren Fachliteratur verschwunden und deshalb weitgehend in Vergessenheit geraten sind:
Lin-Yao Liao, Bráulio Fonseca Carneiro de Albuquerque, Robert E. Parks, and José Sasián: Precision focal-length measurement using imaging conjugates, Optical Engineering 51(11), 113604 (2 November 2012). https://doi.org/10.1117/1.OE.51.11.113604



Hauptseite



© Text, Fotos und Filme von  Martin Mach